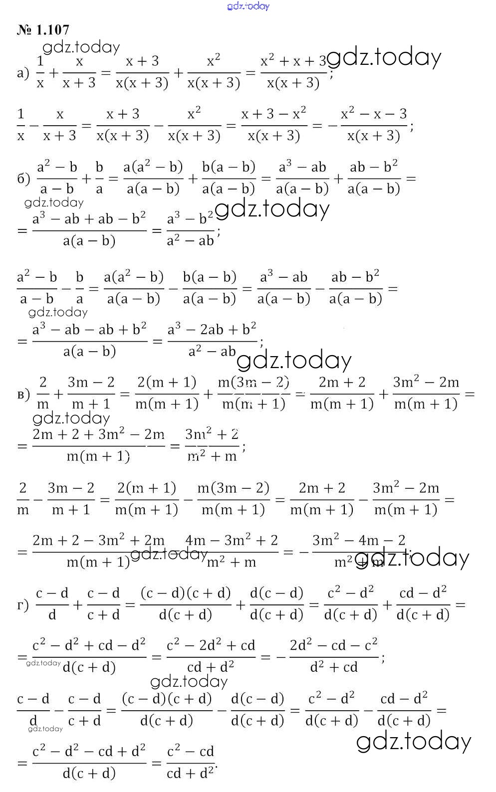
Ответы к Задания Решение к главе 1 1.107 Учебнику по Алгебре для 9 класса Арефьева, Пирютко Народная асвета 2019
-
Решение к главе 1
На страницах сайта gdz.today вы найдете учебный и вспомогательный материал, направленный на улучшения знаний школьной программы. ГДЗ - онлайн мир знаний Задания Решение к главе 1 1.107 Учебнику по Алгебре для 9 класса Арефьева, Пирютко Народная асвета 2019