Выберите класс▼

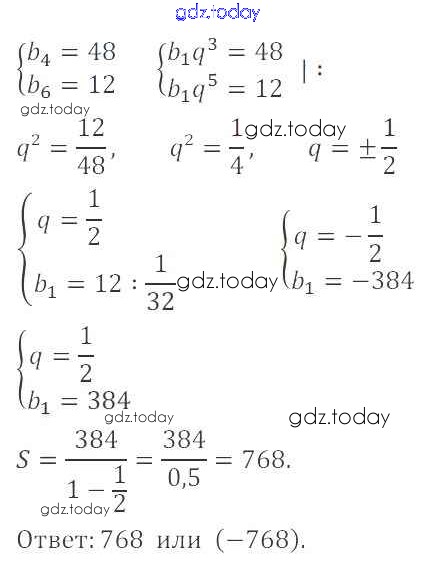
Ответы к Решение к варианту 2 243 Дидактическим материалам по Алгебре для 9 класса Мерзляк, Полонский Вентана-граф Алгоритм успеха 2017

На страницах сайта gdz.today вы найдете учебный и вспомогательный материал, направленный на улучшения знаний школьной программы. ГДЗ - онлайн мир знаний Решение к варианту 2 243 Дидактическим материалам по Алгебре для 9 класса Мерзляк, Полонский Вентана-граф Алгоритм успеха 2017