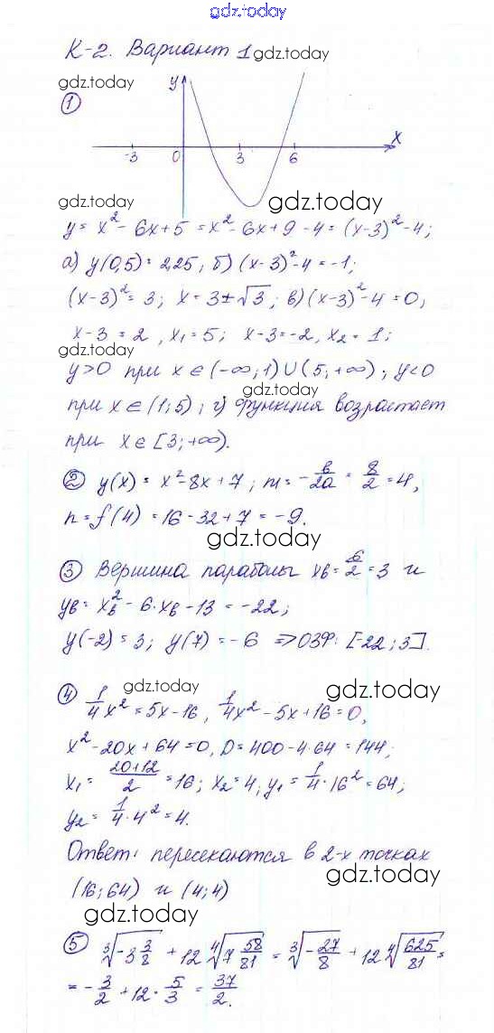
Ответы к КР-2 Решение к контрольным работам Вариант 1 Дидактическим материалам по Алгебре для 9 класса Макарычев, Миндюк Просвещение 2015
-
Решение к самостоятельным работам
-
Решение к контрольным работам
На страницах сайта gdz.today вы найдете учебный и вспомогательный материал, направленный на улучшения знаний школьной программы. ГДЗ - онлайн мир знаний КР-2 Решение к контрольным работам Вариант 1 Дидактическим материалам по Алгебре для 9 класса Макарычев, Миндюк Просвещение 2015