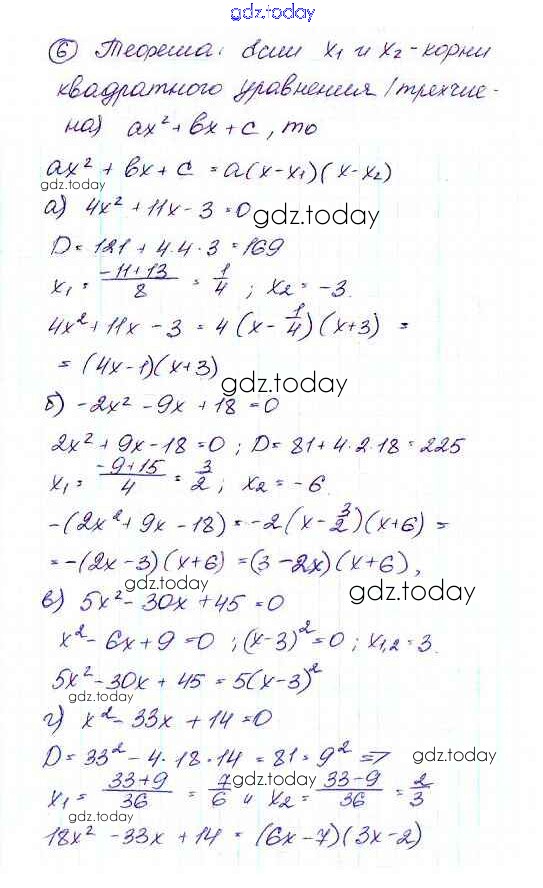
Ответы к Функции Решение к итоговому повторению по темам 6 Дидактическим материалам по Алгебре для 9 класса Макарычев, Миндюк Просвещение 2015
-
Решение к итоговому повторению по темам
На страницах сайта gdz.today вы найдете учебный и вспомогательный материал, направленный на улучшения знаний школьной программы. ГДЗ - онлайн мир знаний Функции Решение к итоговому повторению по темам 6 Дидактическим материалам по Алгебре для 9 класса Макарычев, Миндюк Просвещение 2015