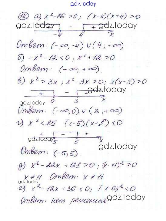
Ответы к Уравнения и неравенства с одной переменной Решение к итоговому повторению по темам 12 Дидактическим материалам по Алгебре для 9 класса Макарычев, Миндюк Просвещение 2015
-
Решение к итоговому повторению по темам
На страницах сайта gdz.today вы найдете учебный и вспомогательный материал, направленный на улучшения знаний школьной программы. ГДЗ - онлайн мир знаний Уравнения и неравенства с одной переменной Решение к итоговому повторению по темам 12 Дидактическим материалам по Алгебре для 9 класса Макарычев, Миндюк Просвещение 2015