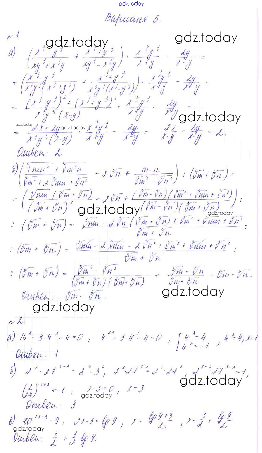
Ответы к СР-8. Упражнения на все действия над радикалами и степенями Решение к самостоятельным работам вариант 5 Дидактическим материалам по Алгебре для 9 класса Зив, Гольдич Виктория плюс 2013
-
Решение к самостоятельным работам
На страницах сайта gdz.today вы найдете учебный и вспомогательный материал, направленный на улучшения знаний школьной программы. ГДЗ - онлайн мир знаний СР-8. Упражнения на все действия над радикалами и степенями Решение к самостоятельным работам вариант 5 Дидактическим материалам по Алгебре для 9 класса Зив, Гольдич Виктория плюс 2013