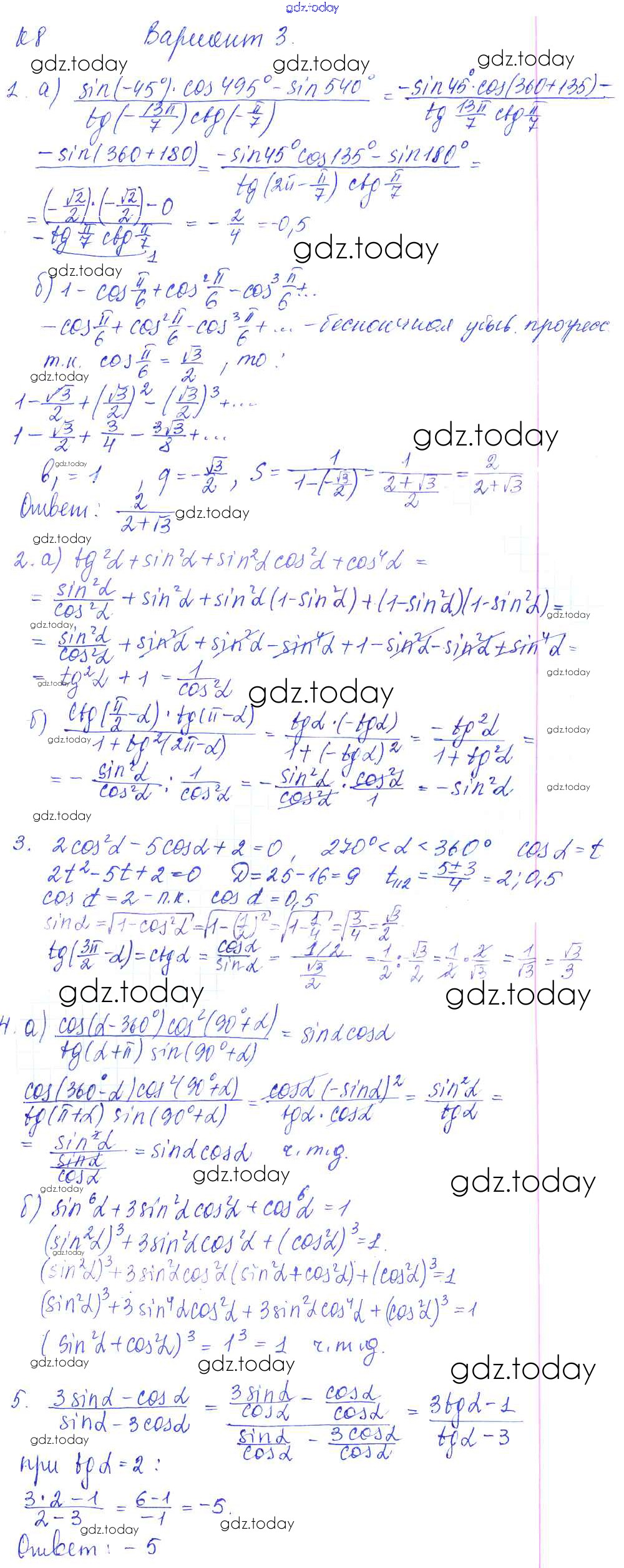
Ответы к К-8. Свойства тригонометрических функций. Тригонометрические тождества. Формулы приведения Решение к контрольным работам Вариант №3 Контрольным и самостоятельным работам по Алгебре для 9 класса Журавлев, Малышева Экзамен УМК 2016
-
Решение к контрольным работам
На страницах сайта gdz.today вы найдете учебный и вспомогательный материал, направленный на улучшения знаний школьной программы. ГДЗ - онлайн мир знаний К-8. Свойства тригонометрических функций. Тригонометрические тождества. Формулы приведения Решение к контрольным работам Вариант №3 Контрольным и самостоятельным работам по Алгебре для 9 класса Журавлев, Малышева Экзамен УМК 2016