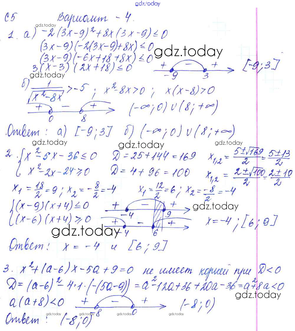
Ответы к С-5. Решение квадратичных неравенств Решение к самостоятельным работам Вариант №4 Контрольным и самостоятельным работам по Алгебре для 9 класса Журавлев, Малышева Экзамен УМК 2016
-
Решение к самостоятельным работам
На страницах сайта gdz.today вы найдете учебный и вспомогательный материал, направленный на улучшения знаний школьной программы. ГДЗ - онлайн мир знаний С-5. Решение квадратичных неравенств Решение к самостоятельным работам Вариант №4 Контрольным и самостоятельным работам по Алгебре для 9 класса Журавлев, Малышева Экзамен УМК 2016