Выберите класс▼

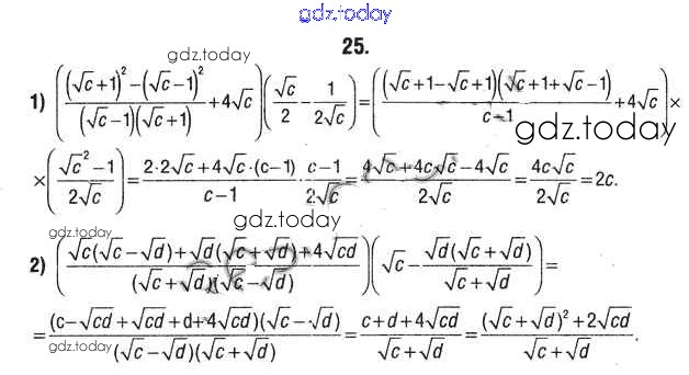
Ответы к Решение к повторению 25 Учебнику по Алгебре для 9 класса Кузнецова, Муравьева Народная асвета 2015

На страницах сайта gdz.today вы найдете учебный и вспомогательный материал, направленный на улучшения знаний школьной программы. ГДЗ - онлайн мир знаний Решение к повторению 25 Учебнику по Алгебре для 9 класса Кузнецова, Муравьева Народная асвета 2015