Ответы к Работа 16 Решение к части 1 Вариант-1 Сборнику заданий по Алгебре для 9 класса Кузнецова, Бунимович Дрофа 2008
-
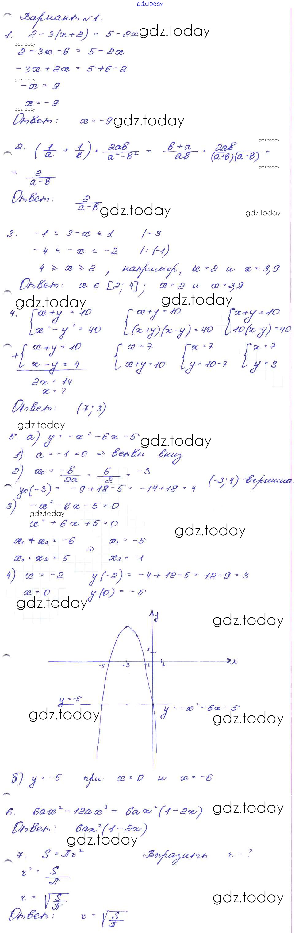
Решение к части 1
На страницах сайта gdz.today вы найдете учебный и вспомогательный материал, направленный на улучшения знаний школьной программы. ГДЗ - онлайн мир знаний Работа 16 Решение к части 1 Вариант-1 Сборнику заданий по Алгебре для 9 класса Кузнецова, Бунимович Дрофа 2008