Выберите класс▼

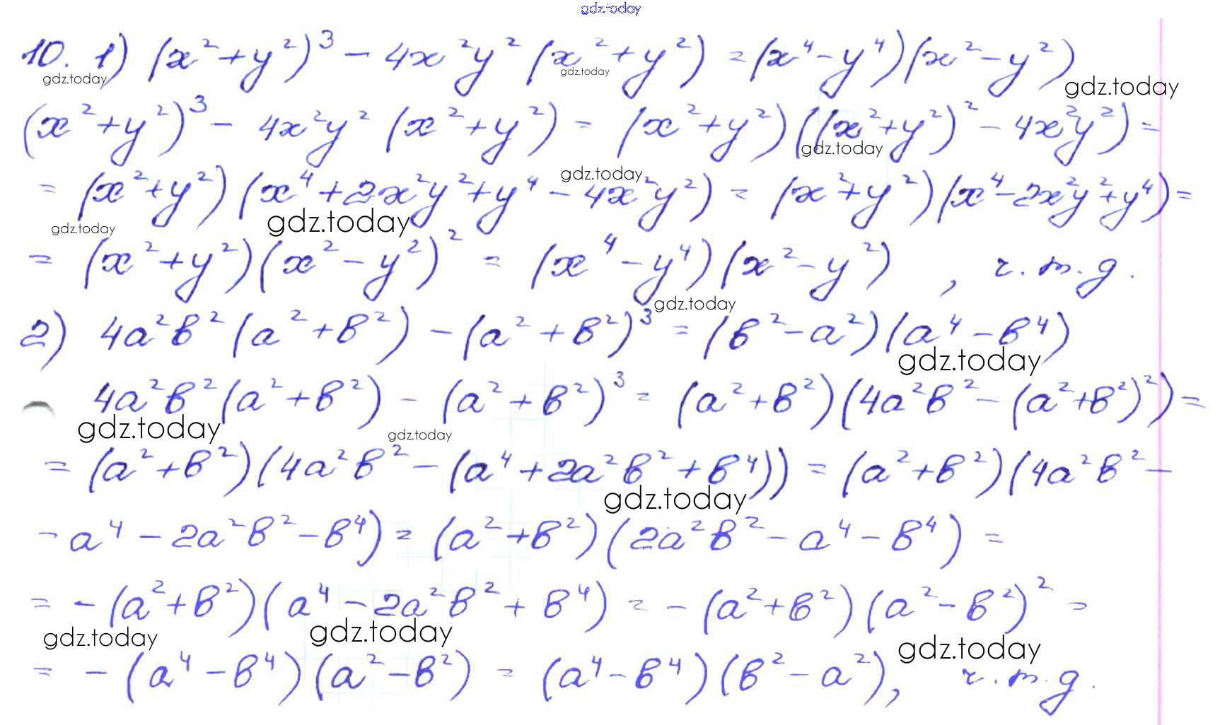
Ответы к Решение к части 2. Задания 10 Сборнику заданий по Алгебре для 9 класса Кузнецова, Бунимович Дрофа 2008

На страницах сайта gdz.today вы найдете учебный и вспомогательный материал, направленный на улучшения знаний школьной программы. ГДЗ - онлайн мир знаний Решение к части 2. Задания 10 Сборнику заданий по Алгебре для 9 класса Кузнецова, Бунимович Дрофа 2008