Выберите класс▼

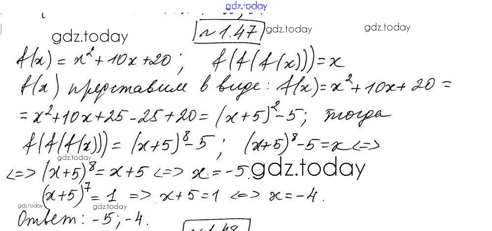
Ответы к Решение §1 1.47 Учебнику по Алгебре для 9 класса Мерзляк, Поляков Углубленный уровень Вентана-граф Алгоритм успеха 2020

На страницах сайта gdz.today вы найдете учебный и вспомогательный материал, направленный на улучшения знаний школьной программы. ГДЗ - онлайн мир знаний Решение §1 1.47 Учебнику по Алгебре для 9 класса Мерзляк, Поляков Углубленный уровень Вентана-граф Алгоритм успеха 2020