Выберите класс▼

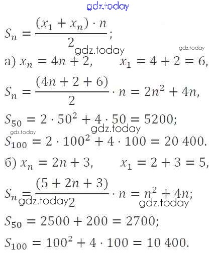
Ответы к Решение. Глава 4. Арифметическая и геометрическая прогрессии (упражнения) 606 Учебнику по Алгебре для 9 класса Макарычев, Миндюк Просвещение, Просвещение 2014, 2021

На страницах сайта gdz.today вы найдете учебный и вспомогательный материал, направленный на улучшения знаний школьной программы. ГДЗ - онлайн мир знаний Решение. Глава 4. Арифметическая и геометрическая прогрессии (упражнения) 606 Учебнику по Алгебре для 9 класса Макарычев, Миндюк Просвещение, Просвещение 2014, 2021