Выберите класс▼

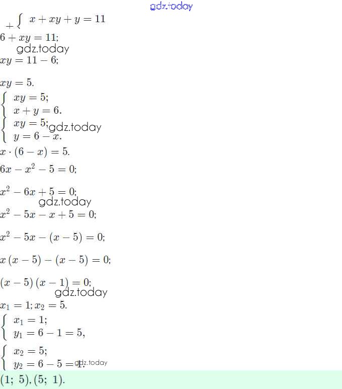
Ответы к Упражнения для повторения курса 7-9 классов 974 Учебнику по Алгебре для 9 класса Макарычев, Миндюк Просвещение 2014

На страницах сайта gdz.today вы найдете учебный и вспомогательный материал, направленный на улучшения знаний школьной программы. ГДЗ - онлайн мир знаний Упражнения для повторения курса 7-9 классов 974 Учебнику по Алгебре для 9 класса Макарычев, Миндюк Просвещение 2014