Выберите класс▼

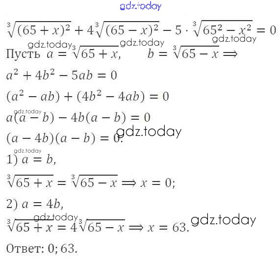
Ответы к Решение. Задачи повышенной трудности 1089 Учебнику по Алгебре для 9 класса Макарычев, Миндюк Просвещение, Просвещение 2014, 2021

На страницах сайта gdz.today вы найдете учебный и вспомогательный материал, направленный на улучшения знаний школьной программы. ГДЗ - онлайн мир знаний Решение. Задачи повышенной трудности 1089 Учебнику по Алгебре для 9 класса Макарычев, Миндюк Просвещение, Просвещение 2014, 2021