Выберите класс▼

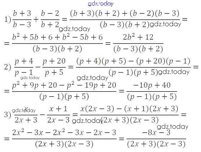
Ответы к Решение. Упражнения 394 Учебнику по Алгебре для 9 класса Мерзляк, Полонский Вентана-граф, Просвещение Алгоритм успеха 2016, 2021

На страницах сайта gdz.today вы найдете учебный и вспомогательный материал, направленный на улучшения знаний школьной программы. ГДЗ - онлайн мир знаний Решение. Упражнения 394 Учебнику по Алгебре для 9 класса Мерзляк, Полонский Вентана-граф, Просвещение Алгоритм успеха 2016, 2021