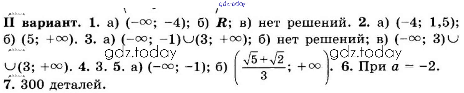
Ответы к КР №1 Решение к контрольным работам вариант 2 Дидактическим материалам по Алгебре для 9 класса Потапов, Шевкин Просвещение МГУ - школе 2010
-
Решение к контрольным работам
На страницах сайта gdz.today вы найдете учебный и вспомогательный материал, направленный на улучшения знаний школьной программы. ГДЗ - онлайн мир знаний КР №1 Решение к контрольным работам вариант 2 Дидактическим материалам по Алгебре для 9 класса Потапов, Шевкин Просвещение МГУ - школе 2010