Ответы к СР-2. Варианты Самостоятельные работы А2 Самостоятельным и контрольным работам по Алгебре для 9 класса Ершова, Голобородько Илекса 2015
-
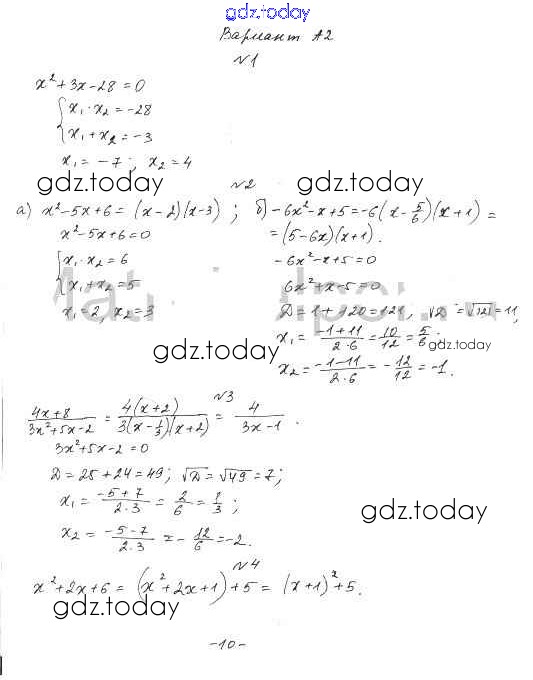
Решение. Алгебра
На страницах сайта gdz.today вы найдете учебный и вспомогательный материал, направленный на улучшения знаний школьной программы. ГДЗ - онлайн мир знаний СР-2. Варианты Самостоятельные работы А2 Самостоятельным и контрольным работам по Алгебре для 9 класса Ершова, Голобородько Илекса 2015