Ответы к СР-12. Варианты Самостоятельные работы Б1 Самостоятельным и контрольным работам по Алгебре для 9 класса Ершова, Голобородько Илекса 2015
-
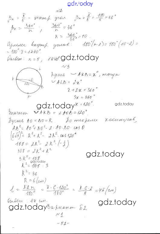
Решение. Геометрия
На страницах сайта gdz.today вы найдете учебный и вспомогательный материал, направленный на улучшения знаний школьной программы. ГДЗ - онлайн мир знаний СР-12. Варианты Самостоятельные работы Б1 Самостоятельным и контрольным работам по Алгебре для 9 класса Ершова, Голобородько Илекса 2015