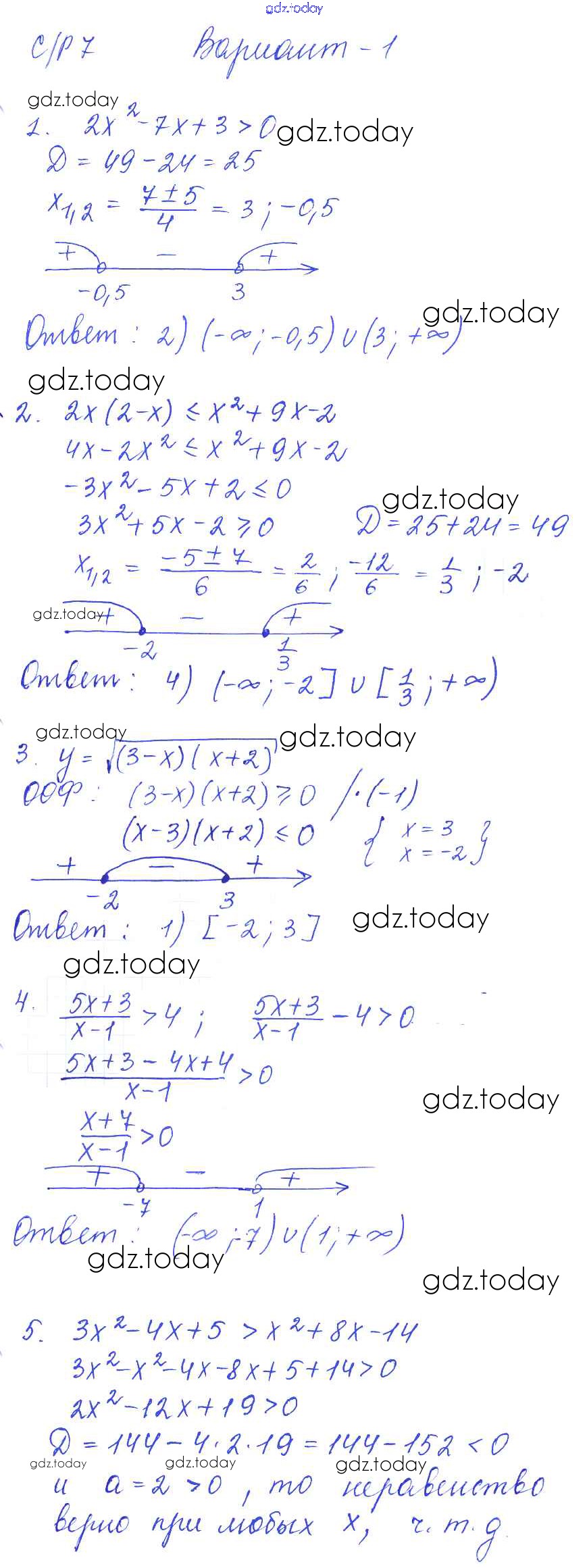
Ответы к СР-7. Неравенства с одной переменной Решение к самостоятельным работам вариант 1 Самостоятельным и контрольным работам по Алгебре для 9 класса Глазков, Варшавский Экзамен УМК 2013
-
Решение к самостоятельным работам
На страницах сайта gdz.today вы найдете учебный и вспомогательный материал, направленный на улучшения знаний школьной программы. ГДЗ - онлайн мир знаний СР-7. Неравенства с одной переменной Решение к самостоятельным работам вариант 1 Самостоятельным и контрольным работам по Алгебре для 9 класса Глазков, Варшавский Экзамен УМК 2013