Выберите класс▼

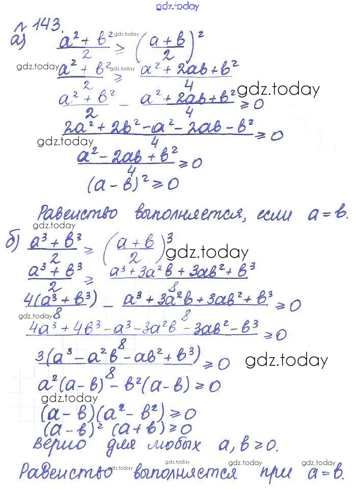
Ответы к Решение. Упражнения 143 Учебнику по Алгебре для 9 класса Дорофеев, Суворова Просвещение, Просвещение 2016, 2019

На страницах сайта gdz.today вы найдете учебный и вспомогательный материал, направленный на улучшения знаний школьной программы. ГДЗ - онлайн мир знаний Решение. Упражнения 143 Учебнику по Алгебре для 9 класса Дорофеев, Суворова Просвещение, Просвещение 2016, 2019