Выберите класс▼

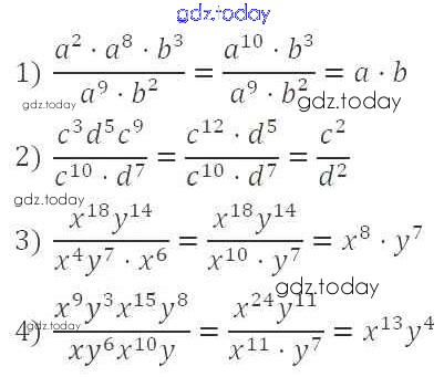
Ответы к Решение к упражнениям 3 Учебнику по Алгебре для 9 класса Колягин, Ткачева Просвещение 2015

На страницах сайта gdz.today вы найдете учебный и вспомогательный материал, направленный на улучшения знаний школьной программы. ГДЗ - онлайн мир знаний Решение к упражнениям 3 Учебнику по Алгебре для 9 класса Колягин, Ткачева Просвещение 2015