Выберите класс▼

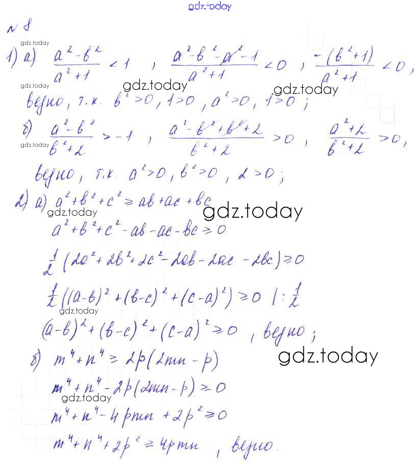
Ответы к О-5. Доказательство неравенств Решение к обучающим работам 8 Дидактическим материалам по Алгебре для 9 класса Евстафьева, Карп Просвещение 2017

  • Решение к обучающим работам
    • О-4. Решение систем линейных неравенств
    • 8
На страницах сайта gdz.today вы найдете учебный и вспомогательный материал, направленный на улучшения знаний школьной программы. ГДЗ - онлайн мир знаний О-5. Доказательство неравенств Решение к обучающим работам 8 Дидактическим материалам по Алгебре для 9 класса Евстафьева, Карп Просвещение 2017