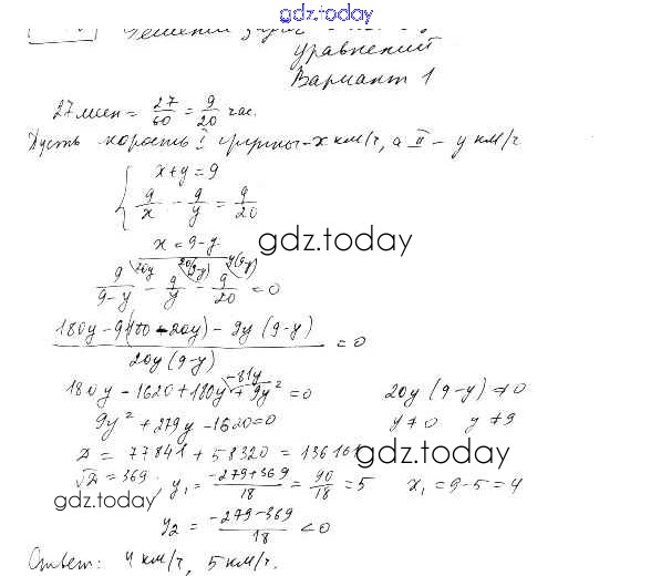
Ответы к П-38. Решение задач с помощью систем уравнений Решение к проверочным работам Вариант 1 Дидактическим материалам по Алгебре для 9 класса Евстафьева, Карп Просвещение 2017
-
Решение к проверочным работам
На страницах сайта gdz.today вы найдете учебный и вспомогательный материал, направленный на улучшения знаний школьной программы. ГДЗ - онлайн мир знаний П-38. Решение задач с помощью систем уравнений Решение к проверочным работам Вариант 1 Дидактическим материалам по Алгебре для 9 класса Евстафьева, Карп Просвещение 2017