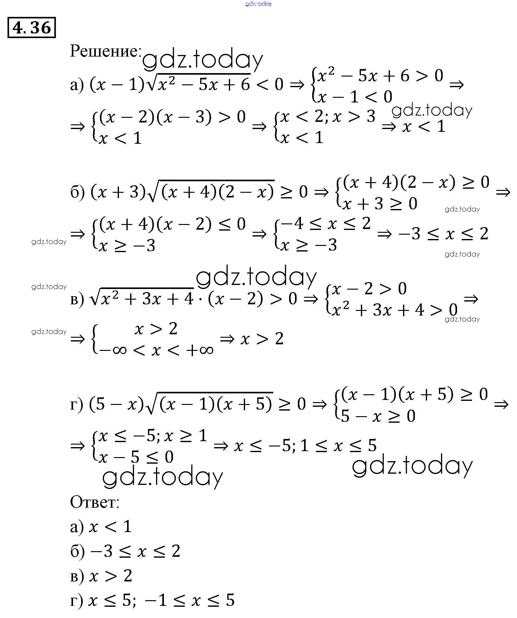
Ответы к § 4. Системы рациональных неравенств Решение. Глава 1. Рациональные неравенства и их системы 4.36 Задачнику по Алгебре для 9 класса Мордкович, Александрова Мнемозина 2010
-
Решение. Глава 1. Рациональные неравенства и их системы
На страницах сайта gdz.today вы найдете учебный и вспомогательный материал, направленный на улучшения знаний школьной программы. ГДЗ - онлайн мир знаний § 4. Системы рациональных неравенств Решение. Глава 1. Рациональные неравенства и их системы 4.36 Задачнику по Алгебре для 9 класса Мордкович, Александрова Мнемозина 2010