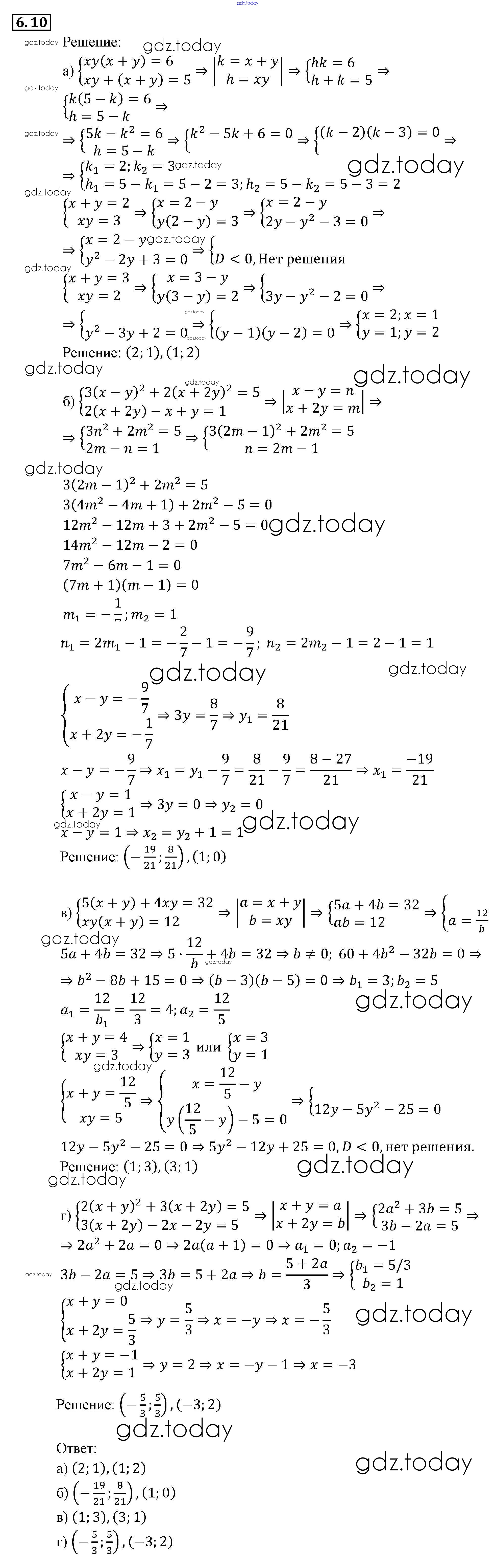
Ответы к § 6. Методы решения систем уравнений Решение. Глава 2. Системы уравнений 6.10 Задачнику по Алгебре для 9 класса Мордкович, Александрова Мнемозина 2010
-
Решение. Глава 2. Системы уравнений
На страницах сайта gdz.today вы найдете учебный и вспомогательный материал, направленный на улучшения знаний школьной программы. ГДЗ - онлайн мир знаний § 6. Методы решения систем уравнений Решение. Глава 2. Системы уравнений 6.10 Задачнику по Алгебре для 9 класса Мордкович, Александрова Мнемозина 2010