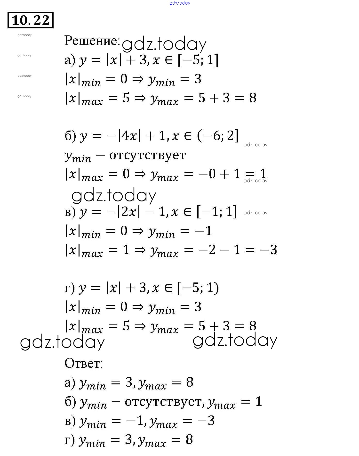
Ответы к § 10. Свойства функций Решение. Глава 3. Числовые функции 10.22 Задачнику по Алгебре для 9 класса Мордкович, Александрова Мнемозина 2010
-
Решение. Глава 3. Числовые функции
На страницах сайта gdz.today вы найдете учебный и вспомогательный материал, направленный на улучшения знаний школьной программы. ГДЗ - онлайн мир знаний § 10. Свойства функций Решение. Глава 3. Числовые функции 10.22 Задачнику по Алгебре для 9 класса Мордкович, Александрова Мнемозина 2010