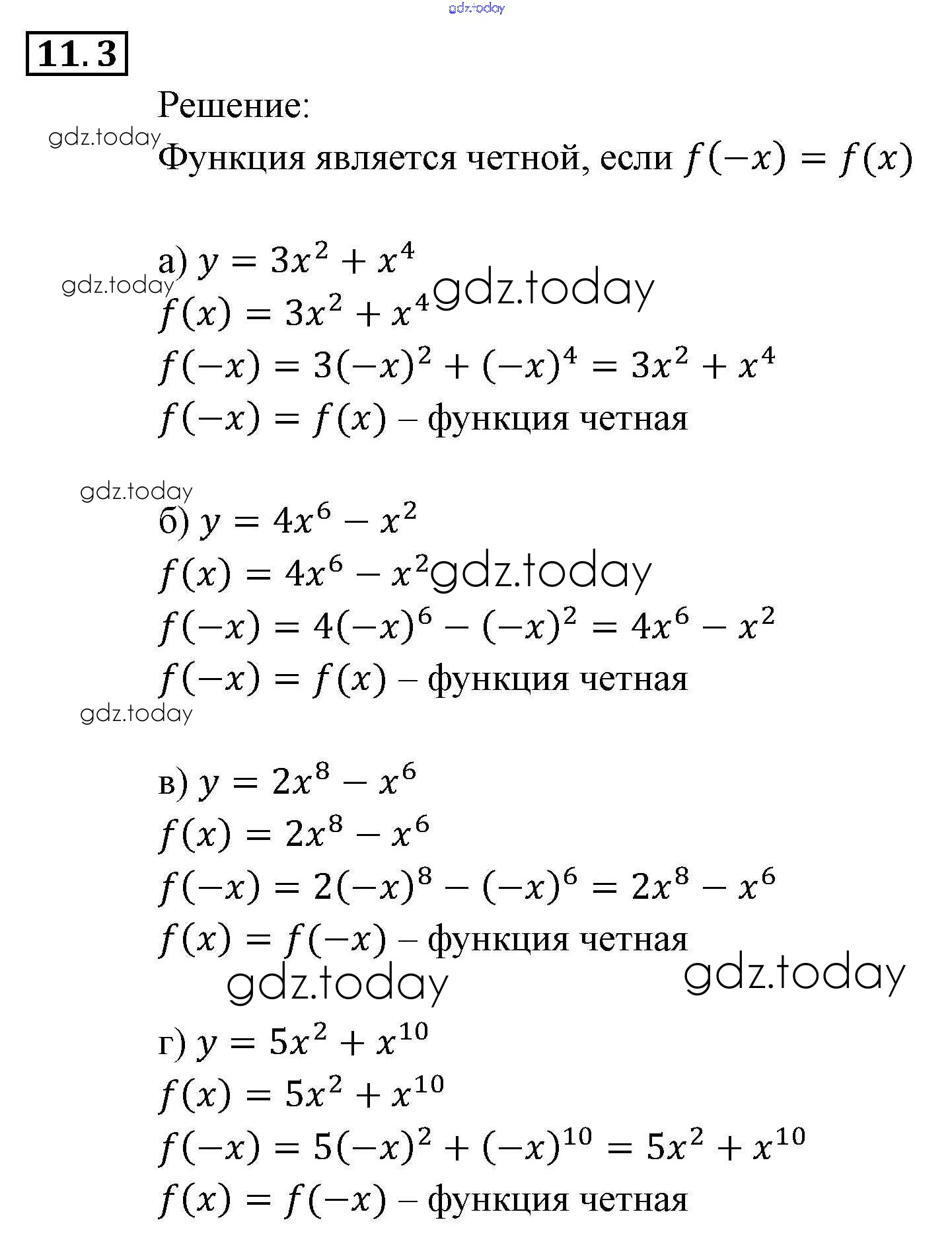
Ответы к § 11. Честные и нечестные функции Решение. Глава 3. Числовые функции 11.3 Задачнику по Алгебре для 9 класса Мордкович, Александрова Мнемозина 2010
-
Решение. Глава 3. Числовые функции
На страницах сайта gdz.today вы найдете учебный и вспомогательный материал, направленный на улучшения знаний школьной программы. ГДЗ - онлайн мир знаний § 11. Честные и нечестные функции Решение. Глава 3. Числовые функции 11.3 Задачнику по Алгебре для 9 класса Мордкович, Александрова Мнемозина 2010