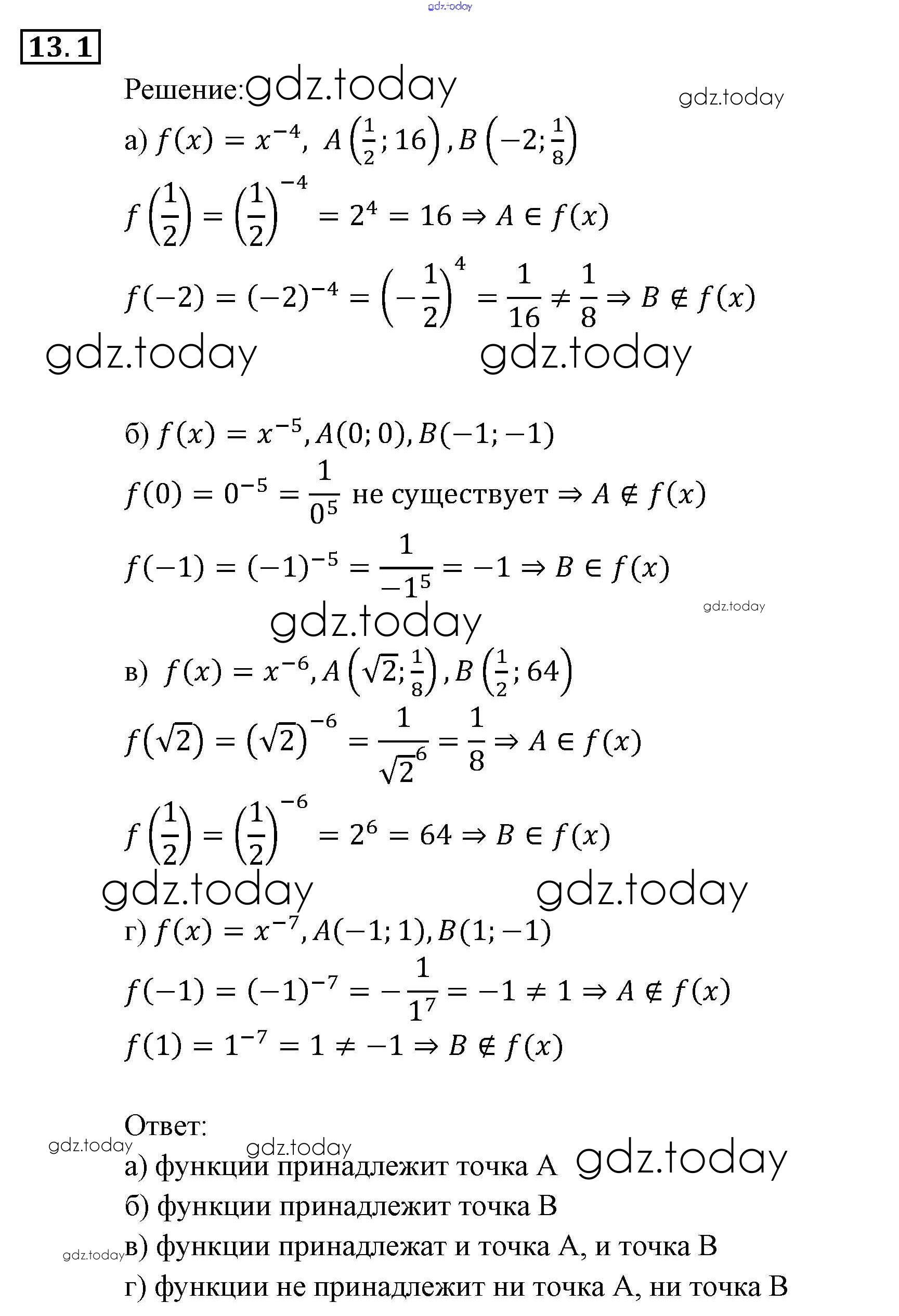
Ответы к §13. Функции y = x⁻ⁿ (n ∈ N), их свойства и графики Решение. Глава 3. Числовые функции 13.1 Задачнику по Алгебре для 9 класса Мордкович, Александрова Мнемозина 2010
-
Решение. Глава 3. Числовые функции
На страницах сайта gdz.today вы найдете учебный и вспомогательный материал, направленный на улучшения знаний школьной программы. ГДЗ - онлайн мир знаний §13. Функции y = x⁻ⁿ (n ∈ N), их свойства и графики Решение. Глава 3. Числовые функции 13.1 Задачнику по Алгебре для 9 класса Мордкович, Александрова Мнемозина 2010