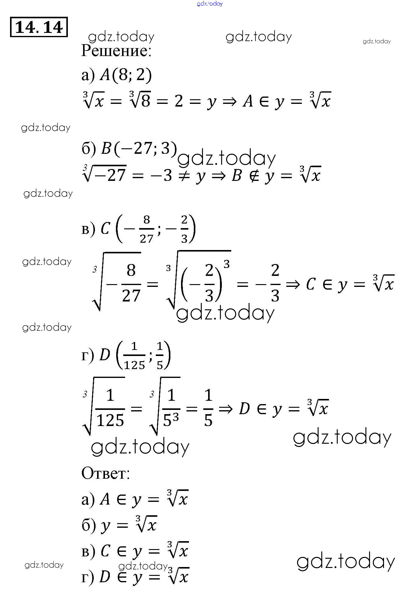
Ответы к §14. Функция y = ∛x, её свойства и график Решение. Глава 3. Числовые функции 14.14 Задачнику по Алгебре для 9 класса Мордкович, Александрова Мнемозина 2010
-
Решение. Глава 3. Числовые функции
На страницах сайта gdz.today вы найдете учебный и вспомогательный материал, направленный на улучшения знаний школьной программы. ГДЗ - онлайн мир знаний §14. Функция y = ∛x, её свойства и график Решение. Глава 3. Числовые функции 14.14 Задачнику по Алгебре для 9 класса Мордкович, Александрова Мнемозина 2010