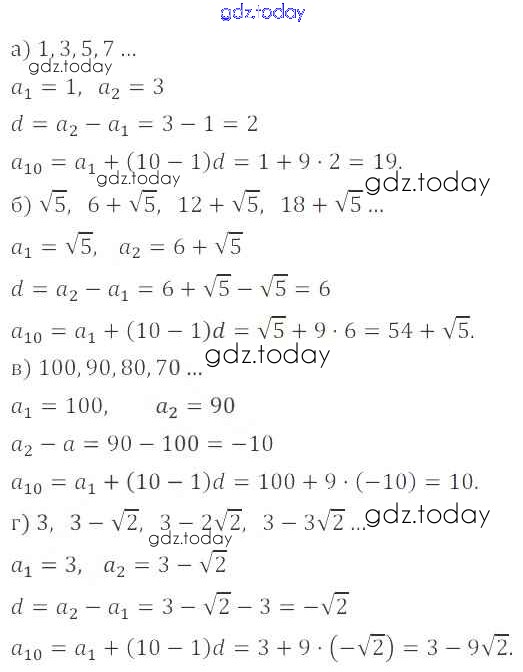
Ответы к § 16. Арифметическая прогрессия Решение. Глава 4. Прогрессии 16.7 Задачнику по Алгебре для 9 класса Мордкович, Александрова Мнемозина 2010
-
Решение. Глава 4. Прогрессии
На страницах сайта gdz.today вы найдете учебный и вспомогательный материал, направленный на улучшения знаний школьной программы. ГДЗ - онлайн мир знаний § 16. Арифметическая прогрессия Решение. Глава 4. Прогрессии 16.7 Задачнику по Алгебре для 9 класса Мордкович, Александрова Мнемозина 2010