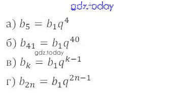
Ответы к § 17. Геометрическая прогрессия Решение. Глава 4. Прогрессии 17.9 Задачнику по Алгебре для 9 класса Мордкович, Александрова Мнемозина 2010
-
Решение. Глава 4. Прогрессии
На страницах сайта gdz.today вы найдете учебный и вспомогательный материал, направленный на улучшения знаний школьной программы. ГДЗ - онлайн мир знаний § 17. Геометрическая прогрессия Решение. Глава 4. Прогрессии 17.9 Задачнику по Алгебре для 9 класса Мордкович, Александрова Мнемозина 2010