Ответы к Вариант 2 Контрольная работа №4 7 Задачнику по Алгебре для 9 класса Мордкович, Александрова Мнемозина 2010
-
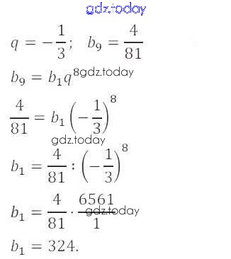
Решение. Глава 4. Прогрессии
-
Решение. Глава 5. Элементы комбинаторики, статистики и теории вероятностей
На страницах сайта gdz.today вы найдете учебный и вспомогательный материал, направленный на улучшения знаний школьной программы. ГДЗ - онлайн мир знаний Вариант 2 Контрольная работа №4 7 Задачнику по Алгебре для 9 класса Мордкович, Александрова Мнемозина 2010