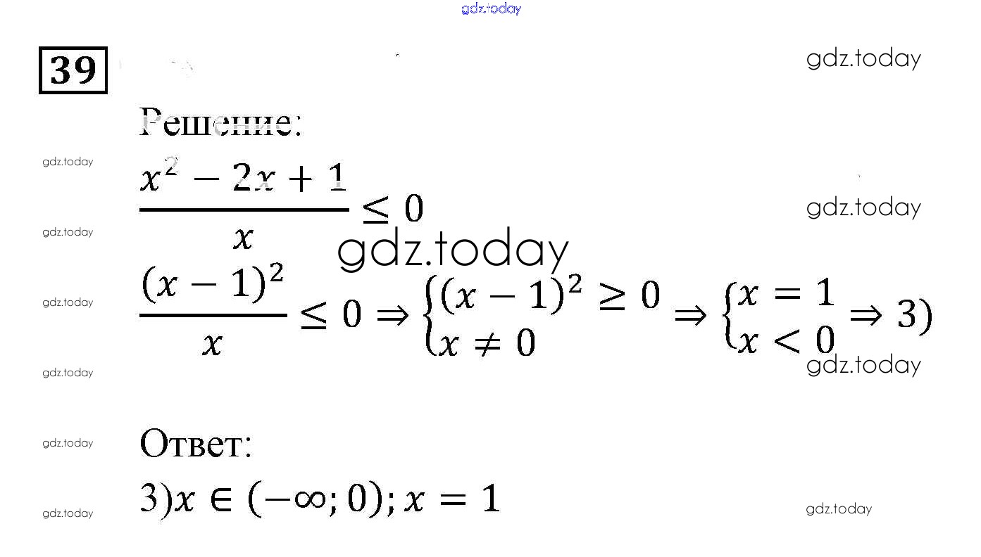
Ответы к Неравенства и системы неравенств Решение. Итоговое повторение (2010) 39 Задачнику по Алгебре для 9 класса Мордкович, Александрова Мнемозина 2010
-
Решение. Итоговое повторение (2010)
На страницах сайта gdz.today вы найдете учебный и вспомогательный материал, направленный на улучшения знаний школьной программы. ГДЗ - онлайн мир знаний Неравенства и системы неравенств Решение. Итоговое повторение (2010) 39 Задачнику по Алгебре для 9 класса Мордкович, Александрова Мнемозина 2010