Выберите класс▼

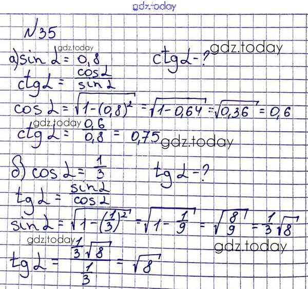
Ответы к Задачи (решение) 35 Учебнику по Геометрии для 9 класса Казаков Народная асвета 2019

На страницах сайта gdz.today вы найдете учебный и вспомогательный материал, направленный на улучшения знаний школьной программы. ГДЗ - онлайн мир знаний Задачи (решение) 35 Учебнику по Геометрии для 9 класса Казаков Народная асвета 2019