Выберите класс▼

Ответы к Подготовка к контрольной работе №1 (решение) 2 Учебнику по Геометрии для 9 класса Казаков Народная асвета 2019

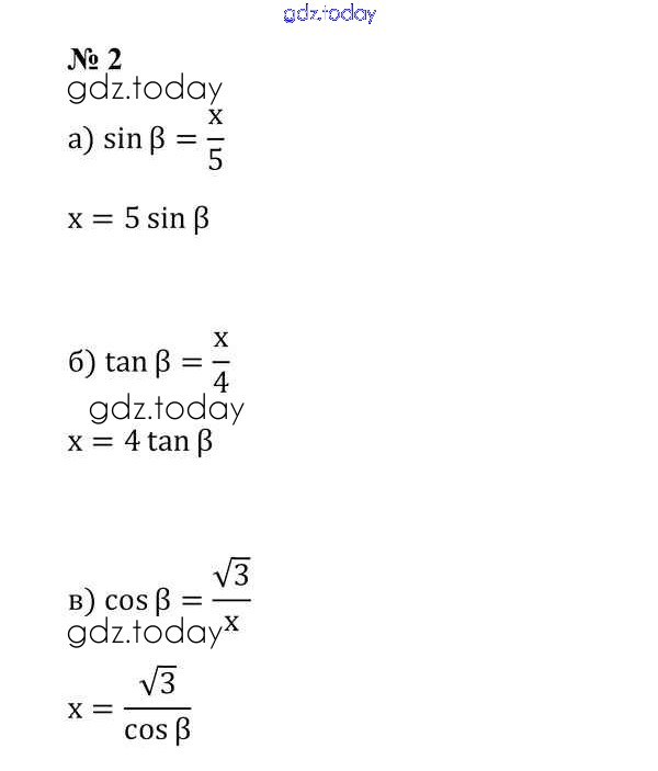
  • Подготовка к контрольной работе №1 (решение)
  • 1 2 3 4 5
  • Подготовка к контрольной работе №2 (решение)
  • 1 2 3 4 5
На страницах сайта gdz.today вы найдете учебный и вспомогательный материал, направленный на улучшения знаний школьной программы. ГДЗ - онлайн мир знаний Подготовка к контрольной работе №1 (решение) 2 Учебнику по Геометрии для 9 класса Казаков Народная асвета 2019