Выберите класс▼

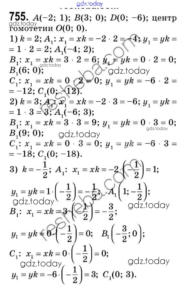
Ответы к Решение. Задачи 755 Учебнику по Геометрии для 9 класса Мерзляк, Полонский Вентана-граф, Просвещение 2016, 2023

На страницах сайта gdz.today вы найдете учебный и вспомогательный материал, направленный на улучшения знаний школьной программы. ГДЗ - онлайн мир знаний Решение. Задачи 755 Учебнику по Геометрии для 9 класса Мерзляк, Полонский Вентана-граф, Просвещение 2016, 2023