Выберите класс▼

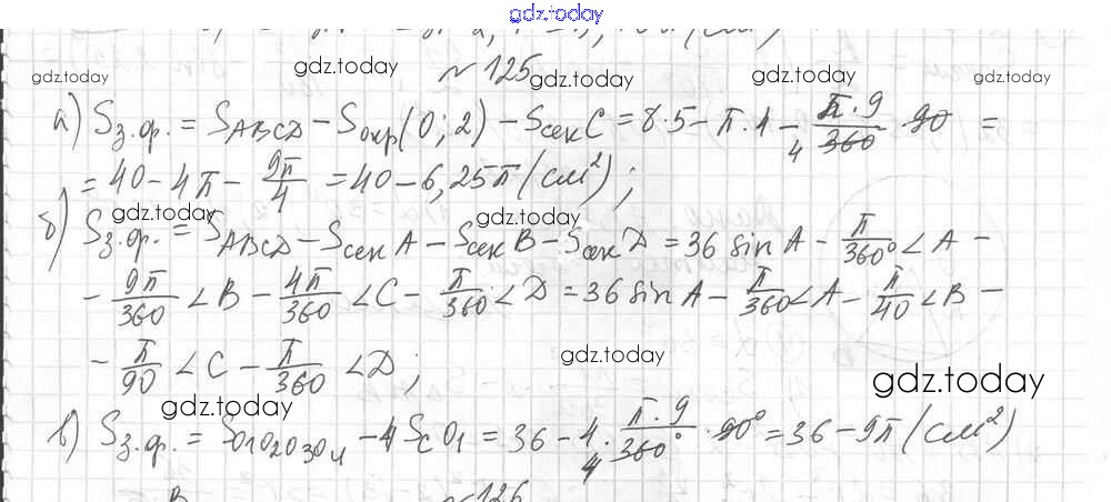
Ответы к Вариант 2. Решение к упражнениям 125 Дидактическим материалам по Геометрии для 9 класса Мерзляк, Полонский Вентана-граф Алгоритм успеха 2017

На страницах сайта gdz.today вы найдете учебный и вспомогательный материал, направленный на улучшения знаний школьной программы. ГДЗ - онлайн мир знаний Вариант 2. Решение к упражнениям 125 Дидактическим материалам по Геометрии для 9 класса Мерзляк, Полонский Вентана-граф Алгоритм успеха 2017