Выберите класс▼

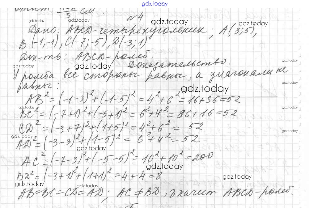
Ответы к КР-6. Варианты Решение к контрольным работам 2 Дидактическим материалам по Геометрии для 9 класса Мерзляк, Полонский Вентана-граф Алгоритм успеха 2017

  • Решение к контрольным работам
    • КР-2. Варианты
    • 2
    • КР-3. Варианты
    • 1 2
    • КР-4. Варианты
    • 1 2
    • КР-5. Варианты
    • 1 2
    • КР-6. Варианты
    • 1 2
На страницах сайта gdz.today вы найдете учебный и вспомогательный материал, направленный на улучшения знаний школьной программы. ГДЗ - онлайн мир знаний КР-6. Варианты Решение к контрольным работам 2 Дидактическим материалам по Геометрии для 9 класса Мерзляк, Полонский Вентана-граф Алгоритм успеха 2017