Ответы к §6 Решение к главе 2. Правильные многоугольники 6.26 Учебнику по Геометрии для 9 класса Мерзляк, Поляков Углубленный уровень Вентана-граф 2019
-
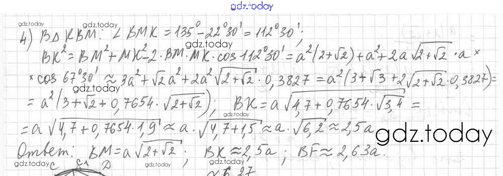
Решение к главе 2. Правильные многоугольники
На страницах сайта gdz.today вы найдете учебный и вспомогательный материал, направленный на улучшения знаний школьной программы. ГДЗ - онлайн мир знаний §6 Решение к главе 2. Правильные многоугольники 6.26 Учебнику по Геометрии для 9 класса Мерзляк, Поляков Углубленный уровень Вентана-граф 2019