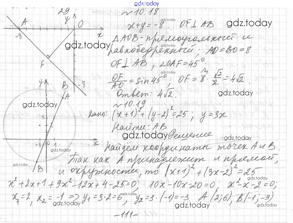
Ответы к §10 Решение к главе 3. Декартовы координаты на плоскости 10.18 Учебнику по Геометрии для 9 класса Мерзляк, Поляков Углубленный уровень Вентана-граф 2019
-
Решение к главе 3. Декартовы координаты на плоскости
На страницах сайта gdz.today вы найдете учебный и вспомогательный материал, направленный на улучшения знаний школьной программы. ГДЗ - онлайн мир знаний §10 Решение к главе 3. Декартовы координаты на плоскости 10.18 Учебнику по Геометрии для 9 класса Мерзляк, Поляков Углубленный уровень Вентана-граф 2019