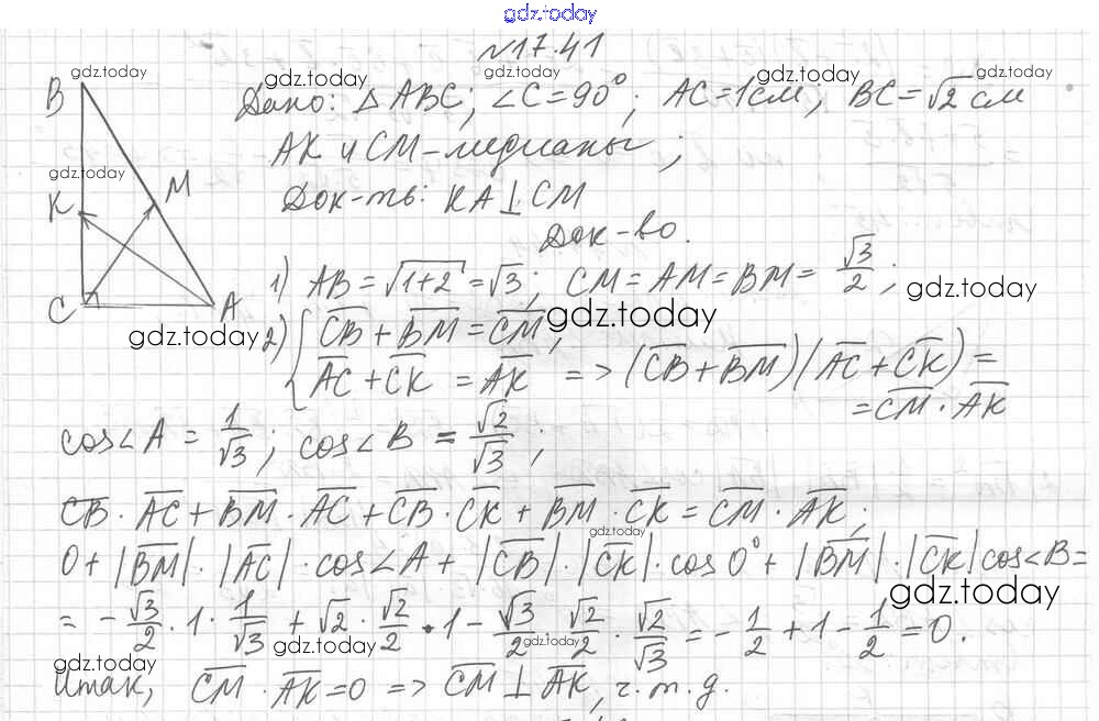
Ответы к §17 Решение к главе 4. Векторы 17.41 Учебнику по Геометрии для 9 класса Мерзляк, Поляков Углубленный уровень Вентана-граф 2019
-
Решение к главе 4. Векторы
На страницах сайта gdz.today вы найдете учебный и вспомогательный материал, направленный на улучшения знаний школьной программы. ГДЗ - онлайн мир знаний §17 Решение к главе 4. Векторы 17.41 Учебнику по Геометрии для 9 класса Мерзляк, Поляков Углубленный уровень Вентана-граф 2019