Выберите класс▼

Ответы к СР-11. Варианты к учебнику Атанасяна 4 Контрольным и самостоятельным работам по Геометрии для 9 класса Журавлев, Малышева Экзамен УМК 2016

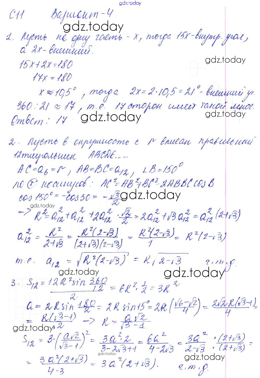
  • Решение к самостоятельным работам
На страницах сайта gdz.today вы найдете учебный и вспомогательный материал, направленный на улучшения знаний школьной программы. ГДЗ - онлайн мир знаний СР-11. Варианты к учебнику Атанасяна 4 Контрольным и самостоятельным работам по Геометрии для 9 класса Журавлев, Малышева Экзамен УМК 2016