Выберите класс▼

Ответы к Решение к §5 7 Учебнику по Химии для 9 класса Габриелян, Остроумов Просвещение 2021

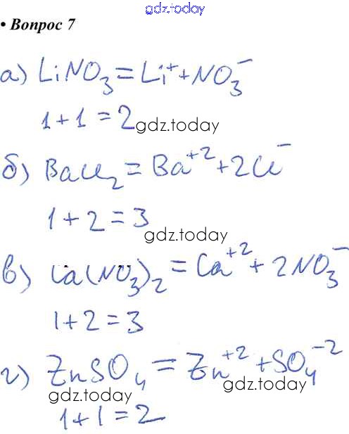
  • Решение к §4
    • Используйте дополнительную информацию
    • 1 2
На страницах сайта gdz.today вы найдете учебный и вспомогательный материал, направленный на улучшения знаний школьной программы. ГДЗ - онлайн мир знаний Решение к §5 7 Учебнику по Химии для 9 класса Габриелян, Остроумов Просвещение 2021