Выберите класс▼

Ответы к Решение к §8 4 Учебнику по Химии для 9 класса Габриелян, Остроумов Просвещение 2021

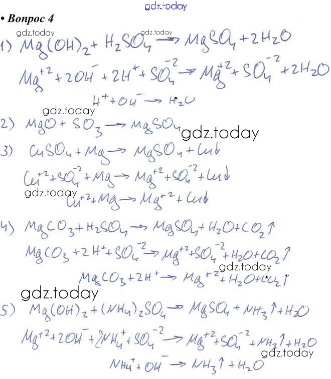
  • Решение к §7
  • 4 5 6 7
    • Используйте дополнительную информацию
    • 1
На страницах сайта gdz.today вы найдете учебный и вспомогательный материал, направленный на улучшения знаний школьной программы. ГДЗ - онлайн мир знаний Решение к §8 4 Учебнику по Химии для 9 класса Габриелян, Остроумов Просвещение 2021