Ответы к Решение к §10 6 Учебнику по Химии для 9 класса Габриелян, Остроумов Просвещение 2021
-
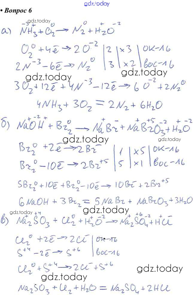
Решение к §9
4
5
6
На страницах сайта gdz.today вы найдете учебный и вспомогательный материал, направленный на улучшения знаний школьной программы. ГДЗ - онлайн мир знаний Решение к §10 6 Учебнику по Химии для 9 класса Габриелян, Остроумов Просвещение 2021