Выберите класс▼

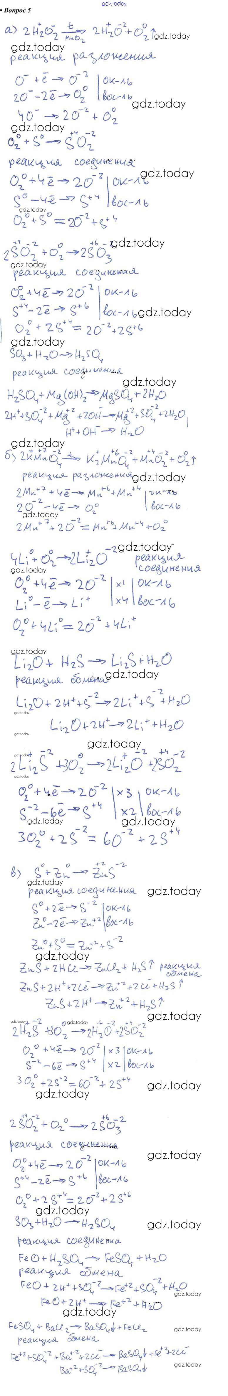
Ответы к Решение к §13 5 Учебнику по Химии для 9 класса Габриелян, Остроумов Просвещение 2021

  • Решение к §12
  • 8 9
    • Используйте дополнительную информацию
    • 1 2
На страницах сайта gdz.today вы найдете учебный и вспомогательный материал, направленный на улучшения знаний школьной программы. ГДЗ - онлайн мир знаний Решение к §13 5 Учебнику по Химии для 9 класса Габриелян, Остроумов Просвещение 2021