Выберите класс▼

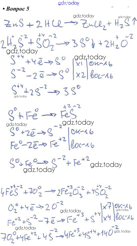
Ответы к Решение к §14 5 Учебнику по Химии для 9 класса Габриелян, Остроумов Просвещение 2021

  • Решение к §13
  • 6 7
    • Используйте дополнительную информацию
    • 1 2
На страницах сайта gdz.today вы найдете учебный и вспомогательный материал, направленный на улучшения знаний школьной программы. ГДЗ - онлайн мир знаний Решение к §14 5 Учебнику по Химии для 9 класса Габриелян, Остроумов Просвещение 2021