Выберите класс▼

Ответы к Решение к §19 4 Учебнику по Химии для 9 класса Габриелян, Остроумов Просвещение 2021

  • Решение к §18
  • 7 8
    • Используйте дополнительную информацию
    • 1 2 3
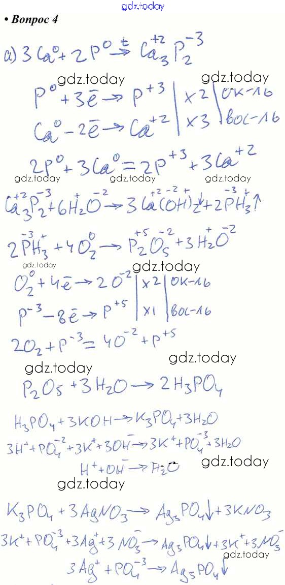
  • Решение к §19
  • 1 2 3 4 5 6
    • Используйте дополнительную информацию
    • 1
    • Выразите своё мнение
    • 1
На страницах сайта gdz.today вы найдете учебный и вспомогательный материал, направленный на улучшения знаний школьной программы. ГДЗ - онлайн мир знаний Решение к §19 4 Учебнику по Химии для 9 класса Габриелян, Остроумов Просвещение 2021