Выберите класс▼

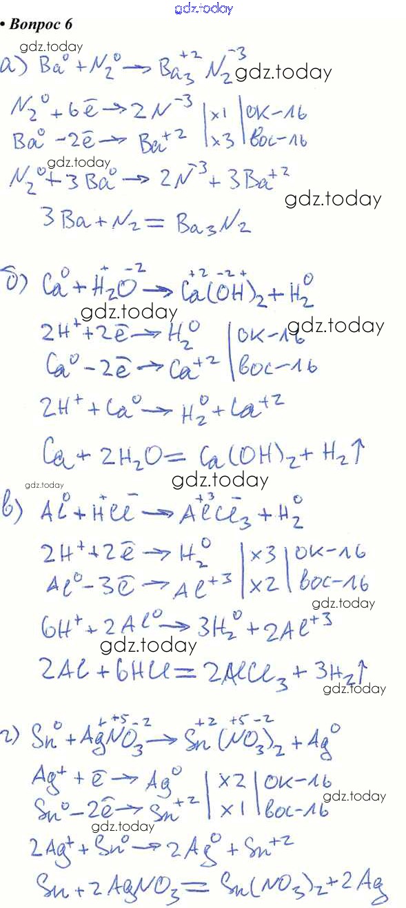
Ответы к Решение к §29 6 Учебнику по Химии для 9 класса Габриелян, Остроумов Просвещение 2021

  • Решение к §28
  • 7 8
    • Используйте дополнительную информацию
    • 1
  • Решение к §30
  • 1
На страницах сайта gdz.today вы найдете учебный и вспомогательный материал, направленный на улучшения знаний школьной программы. ГДЗ - онлайн мир знаний Решение к §29 6 Учебнику по Химии для 9 класса Габриелян, Остроумов Просвещение 2021